获利指数PI怎么算


一、PI等于多少?
通过几何、微积分、概率等广泛的范围和渠道发现 π ,这充分显示了数学方法的奇异美。 π 竟然与这么些表面看来风马牛不相及的试验,沟通在一起,这的确使人惊讶不已。附 Pi后 1.6万位PI=3.


二、PI等于多少?
半径为R的园,在圆周上取一弧长等于R的弧,这个弧对圆心所张的角就是PI。


三、如何计算PROFITABILITY INDEX
现值指数(Profitapbility Index,缩写为 PI)又称获利指数或利润指数,是指投资项目未来现金净流量的总现值与原始投资现值之比.其计算公式为:现值指数(PI)=未来NCF总现值/原始投资额现值


四、excel 如何运算pi的结果
圆周率有个函数可以求的,用的是函数pi()没有输入参数,支持运算。结果是有精度的,好像是15位有效数字就是说当你把显示精度调成30位时,会补齐很多0如果没办法用pi,也还有其他方式表达这个值那就是:4*atan(1)很明显45度的正切值为1,1反正切就是45度--pai/4excel表格支持的字符数好像是255,就是说如果公式很长光公式就超过了这个限制,那么字符就不够了。比较方便的 方法就是用vba写公式,那么很多运算、判断符号就都写在了子函数里面。而且basic语言也很容易就掌握。形式简洁的公式还有两个优点,就是容易检查正误,和不容易出错。看着也不晕。这在你的计算工作渐渐复杂时,确实是很适用的,能帮助完成平常的耐力无法完成的工作。


五、PI等于多少?

六、PI算法是怎样计算出一个值
你的标题取的不好,我还以为是计算圆周率PI的呢比例积分算法中P,I值的选取要根据系统的传递函数,通常根据经验取就行。控制值如公式中所示解法,e是偏差值即期望转速减去当前转速。如题中当前转速应该就是350,你说的预置转速不知道是不是就是期望转速,如果是的话,那么e就是500-350=150。200分足矣,何谈RMB。如有疑问,可以hi我


七、如何计算PI的**值?
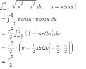
作单位圆,再作其内接正N边形(N为2的正整数次方)先计算其内接正N边形周长,可用公式C=N*2R*sin(180/N)计算,其中R为单位圆半径1。sin(180/N)可以连用N次半角公式计算(因为N为2的正整数次方)**用C/2便可得出圆周率的近似值(因为N可以**大的取值,所以我们可以**接近圆周率)


八、Pi是怎么求的?
是祖冲之爷爷定义的一个关系系数是用**分割圆的方法 求的一个近似值 在3.1415926-3.1415927之间


九、获利指数的指数计算
获利指数(Pl )=投产后各年现金流入量的现值合计/原始投资的现值合计或:=1 净现值率


本文 巴适财经 原创,转载保留链接!网址:/article/382805.html
1.本站遵循行业规范,任何转载的稿件都会明确标注作者和来源;2.本站的原创文章,请转载时务必注明文章作者和来源,不尊重原创的行为我们将追究责任;3.作者投稿可能会经我们编辑修改或补充。







